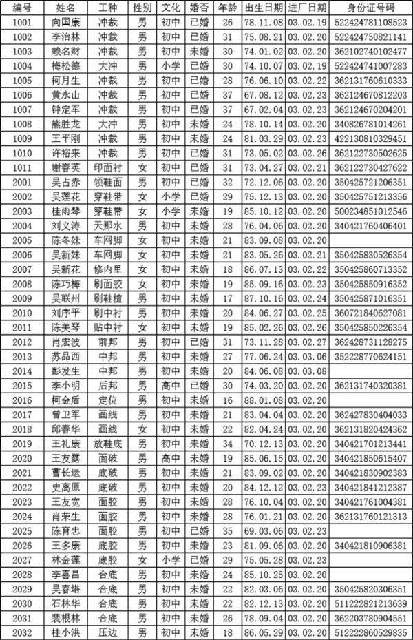
计件工资计算表模板简介本计件工资计算表模板专为按件计酬的工作场景设计,适用于生产制造、手工加工、物流分拣等需要量化员工工作量的行业。模板包含以下核心功能:1.**基础信息记录**:支持填写员工姓名、工号、部门、计算周期等基本信息,便于分类管理。2.**计件数据统计**:按产品/任务类型记录完成数量、单价及总额,自动计算单日或周期工资。3.**异常项标注**:可标记返工、废品等特殊情况,并关联扣减规则,确保核算透明。4.**汇总与核对**:自动生成工资合计、部门汇总等数据,减少人工计算错误,支持与财务系统对接。使用此模板可规范工资核算流程,提升效率并减少纠纷,同时支持根据企业需求灵活调整字段和公式。
