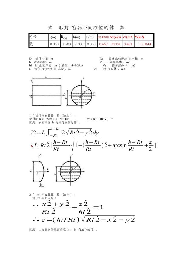
卧式椭圆封头容器不同液位的体积计算是化工、石油、食品等行业中常见的工程问题。这种计算通常用于确定容器内液体储存量、控制液位或进行工艺设计。计算方法涉及几何学原理,需要根据容器的几何参数(如直径、长度、封头形状)和液位高度,通过积分或经验公式求解。对于标准椭圆封头,通常采用分段计算法,将容器分为中间的圆柱段和两端的椭圆封头部分分别计算后相加。实际应用中可能需要考虑温度、压力等因素对液体密度和容器尺寸的影响。精确的体积计算对于库存管理、过程控制和安全生产具有重要意义。

卧式椭圆封头容器不同液位的体积计算是化工、石油、食品等行业中常见的工程问题。这种计算通常用于确定容器内液体储存量、控制液位或进行工艺设计。计算方法涉及几何学原理,需要根据容器的几何参数(如直径、长度、封头形状)和液位高度,通过积分或经验公式求解。对于标准椭圆封头,通常采用分段计算法,将容器分为中间的圆柱段和两端的椭圆封头部分分别计算后相加。实际应用中可能需要考虑温度、压力等因素对液体密度和容器尺寸的影响。精确的体积计算对于库存管理、过程控制和安全生产具有重要意义。

声明:资源收集自网络无法详细核验或存在错误,仅为个人学习参考使用,如侵犯您的权益,请联系我们处理。
不能下载?报告错误