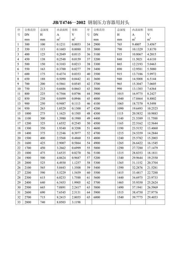
封头容积是指容器封头内部能够容纳的液体或气体的体积大小。封头是压力容器、储罐等设备的重要组成部分,通常位于容器的两端,用于封闭容器并承受内部压力。常见的封头形状包括椭圆形、蝶形、球形、锥形和平板形等,不同形状的封头其容积计算方法也有所不同。封头容积的计算在容器设计、制造和使用过程中非常重要,直接影响容器的容量确定、物料储存量计算以及安全性能评估。准确计算封头容积有助于合理设计容器结构,确保设备的安全运行和高效使用。

封头容积是指容器封头内部能够容纳的液体或气体的体积大小。封头是压力容器、储罐等设备的重要组成部分,通常位于容器的两端,用于封闭容器并承受内部压力。常见的封头形状包括椭圆形、蝶形、球形、锥形和平板形等,不同形状的封头其容积计算方法也有所不同。封头容积的计算在容器设计、制造和使用过程中非常重要,直接影响容器的容量确定、物料储存量计算以及安全性能评估。准确计算封头容积有助于合理设计容器结构,确保设备的安全运行和高效使用。
