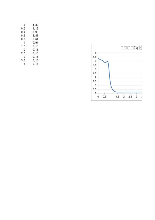
电压传输特性曲线是描述电子器件或电路输入电压与输出电压之间关系的图形表示。它通常以输入电压为横坐标,输出电压为纵坐标,直观展示电路在不同输入条件下的输出响应。这条曲线对于分析比较器、放大器等电路的性能至关重要,能够反映电路的线性范围、阈值电压、增益以及饱和区等关键参数。通过观察曲线的斜率、转折点和形状,工程师可以评估电路的线性度、灵敏度和动态范围,为电路设计和故障诊断提供重要依据。

电压传输特性曲线是描述电子器件或电路输入电压与输出电压之间关系的图形表示。它通常以输入电压为横坐标,输出电压为纵坐标,直观展示电路在不同输入条件下的输出响应。这条曲线对于分析比较器、放大器等电路的性能至关重要,能够反映电路的线性范围、阈值电压、增益以及饱和区等关键参数。通过观察曲线的斜率、转折点和形状,工程师可以评估电路的线性度、灵敏度和动态范围,为电路设计和故障诊断提供重要依据。
