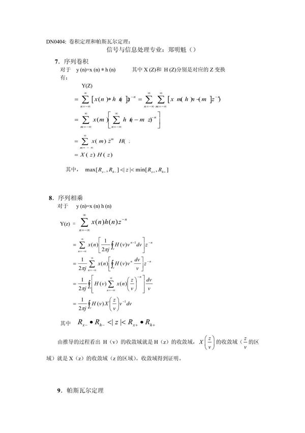
卷积定理是信号处理中的重要定理,它指出时域中的卷积运算对应于频域中的乘积运算,反之亦然。这一定理大大简化了复杂信号系统的分析和计算,广泛应用于滤波、图像处理和通信系统等领域。帕斯瓦尔定理(又称能量守恒定理)表明信号在时域的总能量等于其在频域的总能量。这一定理揭示了信号在时域和频域表示之间的内在联系,为信号能量分析提供了重要依据,在信号处理和通信理论中具有基础性地位。这两个定理都是傅里叶变换理论的核心内容,它们从不同角度揭示了时域与频域之间的深刻联系,为现代信号处理奠定了坚实的数学基础。

卷积定理是信号处理中的重要定理,它指出时域中的卷积运算对应于频域中的乘积运算,反之亦然。这一定理大大简化了复杂信号系统的分析和计算,广泛应用于滤波、图像处理和通信系统等领域。帕斯瓦尔定理(又称能量守恒定理)表明信号在时域的总能量等于其在频域的总能量。这一定理揭示了信号在时域和频域表示之间的内在联系,为信号能量分析提供了重要依据,在信号处理和通信理论中具有基础性地位。这两个定理都是傅里叶变换理论的核心内容,它们从不同角度揭示了时域与频域之间的深刻联系,为现代信号处理奠定了坚实的数学基础。

声明:资源收集自网络无法详细核验或存在错误,仅为个人学习参考使用,如侵犯您的权益,请联系我们处理。
不能下载?报告错误