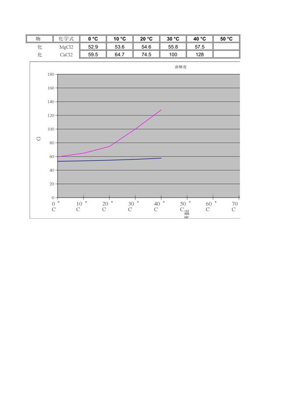
MgCl2(氯化镁)和CaCl2(氯化钙)的溶解度曲线描述了这两种盐在不同温度下在水中的溶解能力。通常,随着温度的升高,它们的溶解度都会增加,但具体变化趋势和幅度有所不同。氯化镁(MgCl2)的溶解度随温度升高显著增加,在高温下溶解能力较强。而氯化钙(CaCl2)的溶解度也随温度升高而增大,但变化相对平缓,且在低温下仍保持较高的溶解性。通过比较两者的溶解度曲线,可以了解它们在特定温度下的溶解行为差异,这对工业应用、化学实验和材料制备等领域具有重要参考价值。

MgCl2(氯化镁)和CaCl2(氯化钙)的溶解度曲线描述了这两种盐在不同温度下在水中的溶解能力。通常,随着温度的升高,它们的溶解度都会增加,但具体变化趋势和幅度有所不同。氯化镁(MgCl2)的溶解度随温度升高显著增加,在高温下溶解能力较强。而氯化钙(CaCl2)的溶解度也随温度升高而增大,但变化相对平缓,且在低温下仍保持较高的溶解性。通过比较两者的溶解度曲线,可以了解它们在特定温度下的溶解行为差异,这对工业应用、化学实验和材料制备等领域具有重要参考价值。
