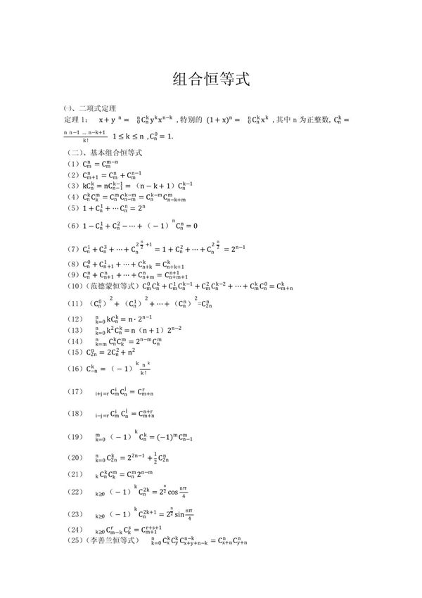
组合恒等式是组合数学中的一个重要概念,主要研究在离散结构中出现的各种等式关系。这些等式通常涉及组合数(如二项式系数)、排列数或其他离散数学对象。组合恒等式不仅在理论上有重要意义,也在计算机科学、概率论、统计学等领域有广泛应用。常见的组合恒等式包括二项式定理、帕斯卡恒等式、范德蒙德恒等式等。这些等式不仅揭示了组合数之间的深层联系,还经常用于简化计算或证明其他数学结论。研究组合恒等式的方法多种多样,包括代数法、组合解释法、生成函数法等。理解这些恒等式有助于更深入地把握离散结构的性质,并为解决实际问题提供有力工具。
