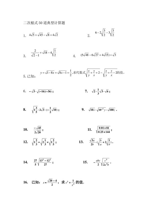
二次根式50道典型计算题是一套精心设计的练习题集,涵盖了二次根式运算的各类常见题型。题目难度由浅入深,包括基本的化简、加减乘除运算,以及综合性的混合运算和分母有理化等进阶题型。这些题目旨在帮助学生系统掌握二次根式的运算规则和技巧,提升计算能力和数学思维。每道题都经过严格筛选,确保具有代表性和训练价值,适合初中高年级学生和高中数学基础学习者使用。通过反复练习这套题目,学生能够有效巩固二次根式的相关知识点,为后续学习更复杂的代数运算打下坚实基础。

二次根式50道典型计算题是一套精心设计的练习题集,涵盖了二次根式运算的各类常见题型。题目难度由浅入深,包括基本的化简、加减乘除运算,以及综合性的混合运算和分母有理化等进阶题型。这些题目旨在帮助学生系统掌握二次根式的运算规则和技巧,提升计算能力和数学思维。每道题都经过严格筛选,确保具有代表性和训练价值,适合初中高年级学生和高中数学基础学习者使用。通过反复练习这套题目,学生能够有效巩固二次根式的相关知识点,为后续学习更复杂的代数运算打下坚实基础。

声明:资源收集自网络无法详细核验或存在错误,仅为个人学习参考使用,如侵犯您的权益,请联系我们处理。
不能下载?报告错误