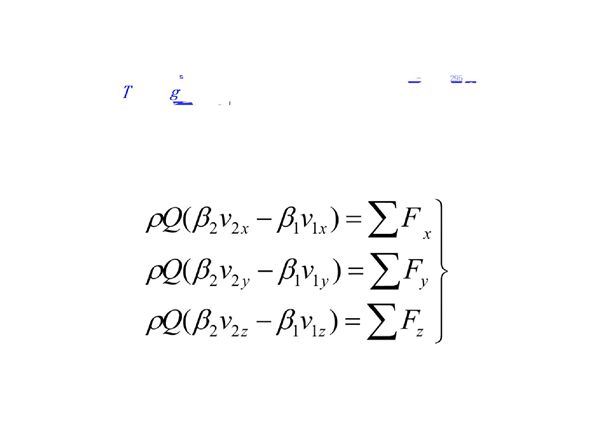
流体力学计算题复习-汇总主要涵盖了流体力学中的基础理论和典型计算题型,包括流体静力学、流体动力学、伯努利方程、动量方程、层流与湍流、边界层理论以及管道流动等核心内容。题目类型涉及压力计算、流速与流量求解、阻力与升力分析、雷诺数判定等常见考点,适合用于课程复习、考前练习或知识点巩固。部分题目还结合工程实际案例,帮助学生理解流体力学在现实问题中的应用。

流体力学计算题复习-汇总主要涵盖了流体力学中的基础理论和典型计算题型,包括流体静力学、流体动力学、伯努利方程、动量方程、层流与湍流、边界层理论以及管道流动等核心内容。题目类型涉及压力计算、流速与流量求解、阻力与升力分析、雷诺数判定等常见考点,适合用于课程复习、考前练习或知识点巩固。部分题目还结合工程实际案例,帮助学生理解流体力学在现实问题中的应用。
