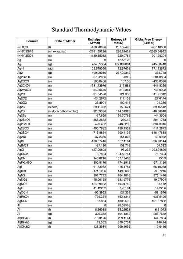
热力学参数表是一种用于记录和展示物质在不同状态下的热力学性质的数据表格。它通常包含温度、压力、比容、焓、熵、内能等关键参数,广泛应用于工程、化学、物理等领域的热力学分析和计算。通过查阅热力学参数表,工程师和科研人员可以快速获取物质的热力学特性数据,为系统设计、过程优化和科学研究提供重要参考依据。

热力学参数表是一种用于记录和展示物质在不同状态下的热力学性质的数据表格。它通常包含温度、压力、比容、焓、熵、内能等关键参数,广泛应用于工程、化学、物理等领域的热力学分析和计算。通过查阅热力学参数表,工程师和科研人员可以快速获取物质的热力学特性数据,为系统设计、过程优化和科学研究提供重要参考依据。

声明:资源收集自网络无法详细核验或存在错误,仅为个人学习参考使用,如侵犯您的权益,请联系我们处理。
不能下载?报告错误