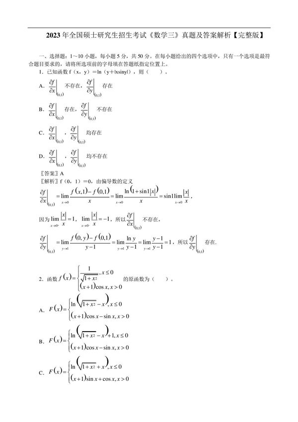
2023年全国硕士研究生招生考试《数学三》真题及答案解析(完整版)是针对报考经济学、管理学等专业硕士研究生的考生编写的权威备考资料。本套真题完整收录了2023年数学三科目的全部试题,涵盖微积分、线性代数、概率论与数理统计三大模块内容,全面反映当年考试难度和命题趋势。配套的答案解析由资深考研数学教师团队编写,提供详尽的解题思路、步骤分析和考点归纳,帮助考生深入理解题目考查要点,掌握解题技巧。该资料既可用于考生检验复习效果、查漏补缺,也可作为模拟训练材料,有效提升应试能力,是备战考研数学三科目的重要参考资料。
