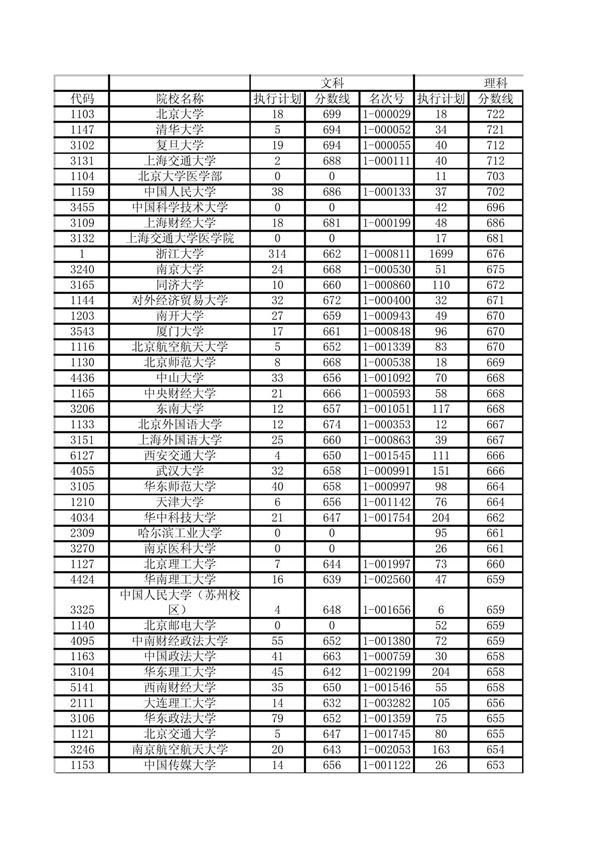
2012年浙江省高考第一批投档分数线是当年高考录取的重要参考标准。第一批主要针对重点本科院校,分数线根据考生成绩和招生计划综合划定。文科和理科分数线不同,通常理科分数线略高于文科。具体分数线由浙江省教育考试院在高考成绩公布后发布,考生需达到或超过该分数线才有资格参与第一批次志愿填报和录取。这一分数线每年会根据考试难度、考生人数等因素有所浮动。

2012年浙江省高考第一批投档分数线是当年高考录取的重要参考标准。第一批主要针对重点本科院校,分数线根据考生成绩和招生计划综合划定。文科和理科分数线不同,通常理科分数线略高于文科。具体分数线由浙江省教育考试院在高考成绩公布后发布,考生需达到或超过该分数线才有资格参与第一批次志愿填报和录取。这一分数线每年会根据考试难度、考生人数等因素有所浮动。

声明:资源收集自网络无法详细核验或存在错误,仅为个人学习参考使用,如侵犯您的权益,请联系我们处理。
不能下载?报告错误