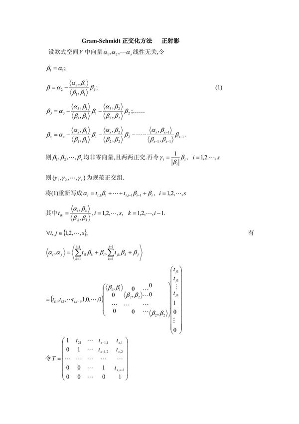
Gram-Schmidt正交化方法是一种将一组线性无关的向量转化为正交向量组的算法。该方法通过逐步减去向量在已正交化方向上的投影,确保新向量与之前所有向量正交。具体步骤包括:对每个新向量,减去其在前面所有正交向量上的投影分量,然后对结果进行归一化(可选)。这一过程广泛应用于线性代数、信号处理、数值分析等领域,特别是在QR分解和正交基构造中具有重要作用。经典Gram-Schmidt算法可能面临数值不稳定性,改进版本如修正Gram-Schmidt提高了计算精度。

Gram-Schmidt正交化方法是一种将一组线性无关的向量转化为正交向量组的算法。该方法通过逐步减去向量在已正交化方向上的投影,确保新向量与之前所有向量正交。具体步骤包括:对每个新向量,减去其在前面所有正交向量上的投影分量,然后对结果进行归一化(可选)。这一过程广泛应用于线性代数、信号处理、数值分析等领域,特别是在QR分解和正交基构造中具有重要作用。经典Gram-Schmidt算法可能面临数值不稳定性,改进版本如修正Gram-Schmidt提高了计算精度。

声明:资源收集自网络无法详细核验或存在错误,仅为个人学习参考使用,如侵犯您的权益,请联系我们处理。
不能下载?报告错误