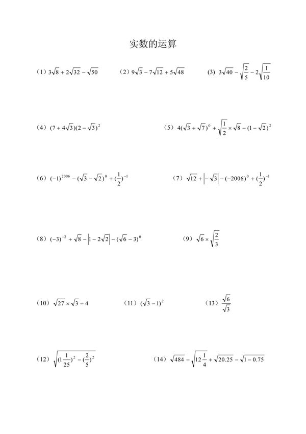
初二数学二次根式综合计算题(共2页)本练习包含针对初二学生的二次根式综合计算题,涵盖以下内容:1.二次根式的化简与运算2.分母有理化3.混合运算(加减乘除)4.含字母的二次根式计算5.简单的二次根式方程题目难度由浅入深,包含基础题、提高题和综合应用题,帮助学生全面掌握二次根式的运算技巧。建议完成时间为30-40分钟,适用于课堂练习或课后巩固。

初二数学二次根式综合计算题(共2页)本练习包含针对初二学生的二次根式综合计算题,涵盖以下内容:1.二次根式的化简与运算2.分母有理化3.混合运算(加减乘除)4.含字母的二次根式计算5.简单的二次根式方程题目难度由浅入深,包含基础题、提高题和综合应用题,帮助学生全面掌握二次根式的运算技巧。建议完成时间为30-40分钟,适用于课堂练习或课后巩固。

声明:资源收集自网络无法详细核验或存在错误,仅为个人学习参考使用,如侵犯您的权益,请联系我们处理。
不能下载?报告错误