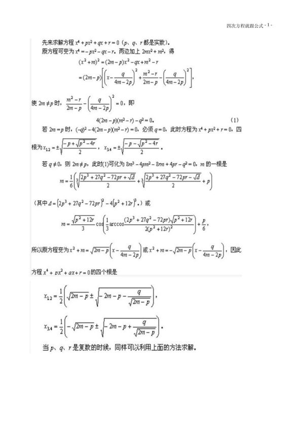
四次方程求根公式是用于求解形如ax⁴+bx³+cx²+dx+e=0的一般四次代数方程的解析解方法。与二次方程和三次方程类似,四次方程也有通用的求根公式,但形式更为复杂。16世纪意大利数学家费拉里(LodovicoFerrari)首次发现了四次方程的解法,该方法后来由他的老师卡尔达诺(GerolamoCardano)发表。四次方程的求解过程通常分为以下几步:1.通过变量代换消去三次项,将方程化为简化形式2.引入辅助变量构造三次方程3.先求解这个三次方程4.再将解回代得到原四次方程的根四次方程的求根公式包含平方根和立方根的多层嵌套,表达式非常冗长。在实际应用中,由于公式复杂,数值计算方法往往更为实用。四次方程是最高次的有通用求根公式的多项式方程,五次及更高次方程已被证明没有通用的根式解(阿贝尔-鲁菲尼定理)。
