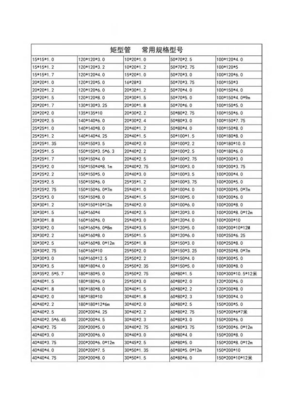
矩形管是一种常见的金属型材,广泛应用于建筑、机械制造、车辆制造等领域。其截面呈矩形或方形,具有较高的抗弯和抗扭性能。常用规格型号通常以“长×宽×壁厚”表示,例如:-20×10×1.5mm-50×30×2.0mm-100×50×3.0mm材质方面,常见的包括Q235碳钢、304不锈钢、铝合金等,可根据使用环境选择。矩形管因其结构稳定、加工方便,常用于框架结构、支撑件、护栏等场景。

矩形管是一种常见的金属型材,广泛应用于建筑、机械制造、车辆制造等领域。其截面呈矩形或方形,具有较高的抗弯和抗扭性能。常用规格型号通常以“长×宽×壁厚”表示,例如:-20×10×1.5mm-50×30×2.0mm-100×50×3.0mm材质方面,常见的包括Q235碳钢、304不锈钢、铝合金等,可根据使用环境选择。矩形管因其结构稳定、加工方便,常用于框架结构、支撑件、护栏等场景。
