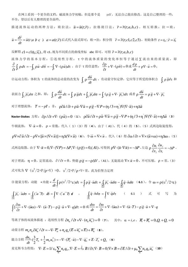
磁流体力学是研究导电流体在电磁场中运动规律的学科。它结合了流体力学和电动力学的基本原理,主要分析导电流体与磁场的相互作用。磁流体力学的研究对象包括等离子体、液态金属等导电流体。这些流体在磁场作用下会产生感应电流,进而受到洛伦兹力的影响,导致流体运动与电磁场形成复杂的耦合关系。该学科在多个领域有重要应用:1.受控核聚变研究中的等离子体约束2.天体物理学中的星际介质和太阳风研究3.工业应用如电磁铸造和磁流体发电4.地球物理学中的地核动力学研究基本控制方程包括:-流体运动的Navier-Stokes方程-电磁场的Maxwell方程组-耦合两者的广义欧姆定律磁流体力学对理解宇宙中的许多现象至关重要,同时也为一些高新技术提供了理论基础。
