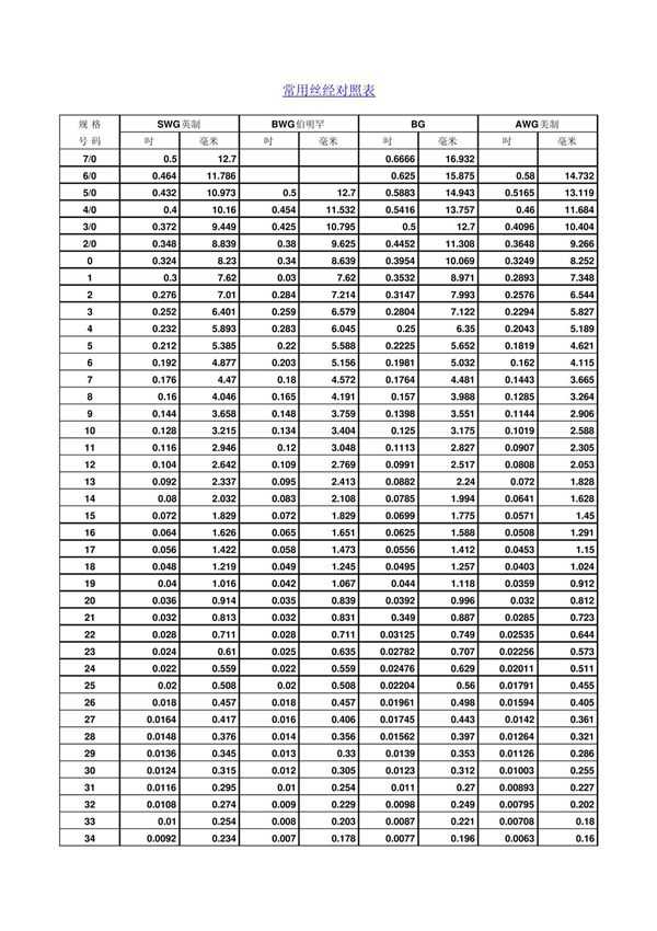
常用丝径对照表是一种用于快速查询不同单位制下丝径尺寸对应关系的工具。它通常以表格形式列出公制(毫米)、英制(英寸)以及线号(如AWG、SWG等)之间的换算数值,方便工程师、技术人员和制造人员在设计、加工或采购时进行参考和转换。该对照表广泛应用于机械加工、线材生产、电子元件制造等领域,能有效提高工作效率并减少单位换算带来的误差。

常用丝径对照表是一种用于快速查询不同单位制下丝径尺寸对应关系的工具。它通常以表格形式列出公制(毫米)、英制(英寸)以及线号(如AWG、SWG等)之间的换算数值,方便工程师、技术人员和制造人员在设计、加工或采购时进行参考和转换。该对照表广泛应用于机械加工、线材生产、电子元件制造等领域,能有效提高工作效率并减少单位换算带来的误差。

声明:资源收集自网络无法详细核验或存在错误,仅为个人学习参考使用,如侵犯您的权益,请联系我们处理。
不能下载?报告错误