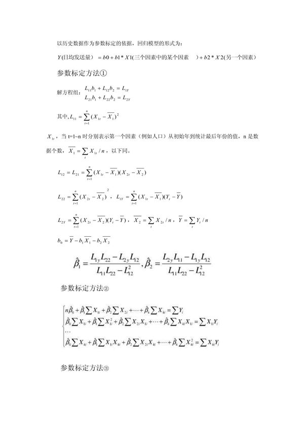
参数标定方法是一种用于确定模型或系统中未知参数的技术,通过实验数据或观测结果调整这些参数,使模型的输出与实际数据尽可能匹配。它在工程、经济学、生物学等领域广泛应用,帮助提高模型的准确性和预测能力。常见的标定方法包括最小二乘法、极大似然估计和贝叶斯方法等。

参数标定方法是一种用于确定模型或系统中未知参数的技术,通过实验数据或观测结果调整这些参数,使模型的输出与实际数据尽可能匹配。它在工程、经济学、生物学等领域广泛应用,帮助提高模型的准确性和预测能力。常见的标定方法包括最小二乘法、极大似然估计和贝叶斯方法等。
