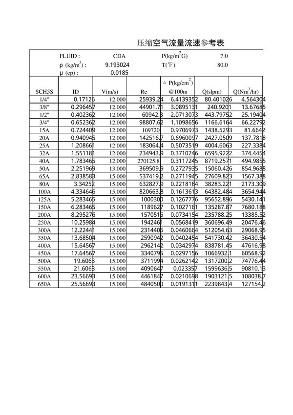
压缩空气流量流速参考表是一份实用的技术资料,主要用于帮助工程师和技术人员快速查询不同工况下压缩空气的流量和流速参数。该表通常包含管道直径、压力、流量和流速等关键数据,适用于气动系统设计、设备选型和运行维护等场景。通过参考此表,用户可以更准确地计算和选择压缩空气系统的相关参数,确保系统高效稳定运行。该表适用于工业制造、能源、化工等多个领域,是压缩空气系统设计和优化的重要工具。

压缩空气流量流速参考表是一份实用的技术资料,主要用于帮助工程师和技术人员快速查询不同工况下压缩空气的流量和流速参数。该表通常包含管道直径、压力、流量和流速等关键数据,适用于气动系统设计、设备选型和运行维护等场景。通过参考此表,用户可以更准确地计算和选择压缩空气系统的相关参数,确保系统高效稳定运行。该表适用于工业制造、能源、化工等多个领域,是压缩空气系统设计和优化的重要工具。

声明:资源收集自网络无法详细核验或存在错误,仅为个人学习参考使用,如侵犯您的权益,请联系我们处理。
不能下载?报告错误