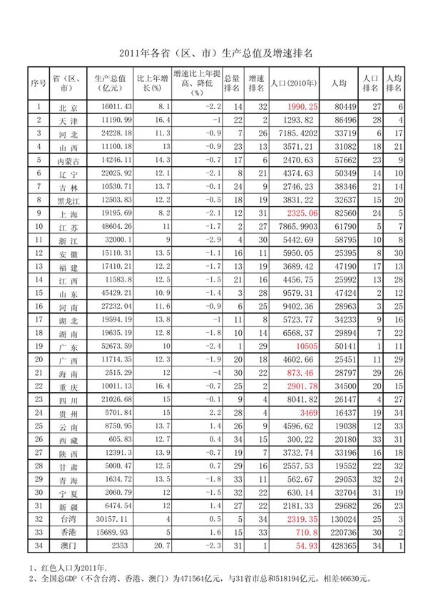
2011年中国各省GDP总量及人均排名反映了当时全国经济发展的区域差异。从总量来看,广东、江苏、山东等沿海省份继续领跑,体现了东部地区的经济优势。中西部省份虽然总量排名靠后,但部分省份保持了较高的增速。人均GDP方面,资源型省份和直辖市表现突出,但区域间差距仍然明显。这一排名为分析中国区域经济发展格局提供了重要参考。

2011年中国各省GDP总量及人均排名反映了当时全国经济发展的区域差异。从总量来看,广东、江苏、山东等沿海省份继续领跑,体现了东部地区的经济优势。中西部省份虽然总量排名靠后,但部分省份保持了较高的增速。人均GDP方面,资源型省份和直辖市表现突出,但区域间差距仍然明显。这一排名为分析中国区域经济发展格局提供了重要参考。
