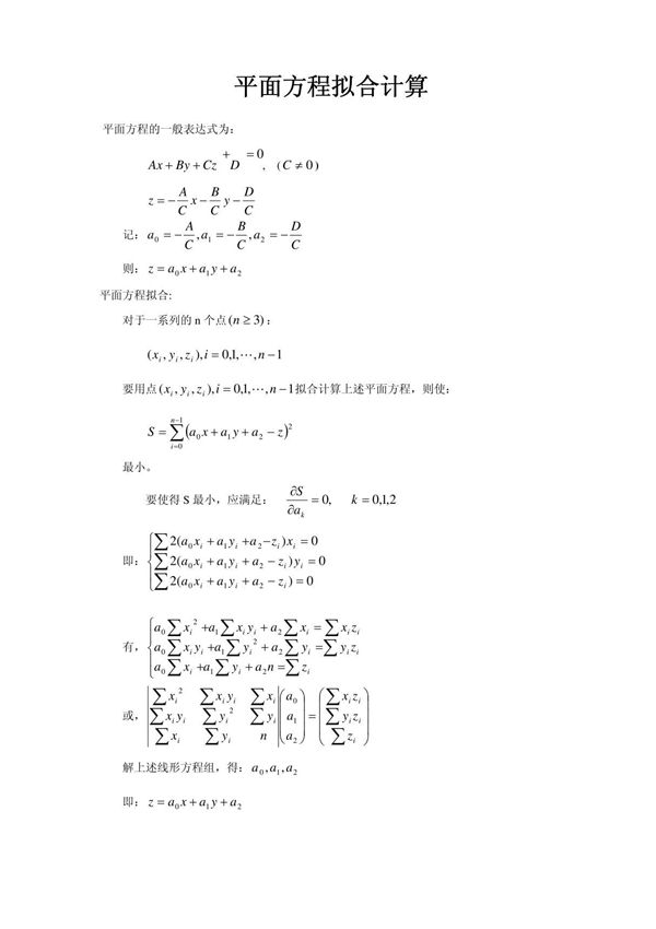
平面方程拟合计算是一种数学方法,用于根据给定的三维空间点集找到最佳拟合的平面方程。通常,平面方程的一般形式为Ax+By+Cz+D=0,其中A、B、C和D是待求的系数。拟合过程通过最小二乘法或其他优化算法,使得所有数据点到拟合平面的距离平方和最小。这种方法广泛应用于计算机视觉、地理信息系统、工程测量和三维建模等领域,用于表面重建、点云处理和数据分析等任务。

平面方程拟合计算是一种数学方法,用于根据给定的三维空间点集找到最佳拟合的平面方程。通常,平面方程的一般形式为Ax+By+Cz+D=0,其中A、B、C和D是待求的系数。拟合过程通过最小二乘法或其他优化算法,使得所有数据点到拟合平面的距离平方和最小。这种方法广泛应用于计算机视觉、地理信息系统、工程测量和三维建模等领域,用于表面重建、点云处理和数据分析等任务。
