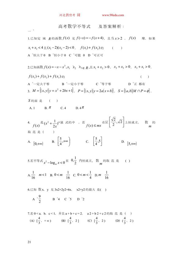
高考数学不等式练习题及答案解析是为帮助考生系统复习不等式相关知识而设计的专项练习材料。本套练习题涵盖高考常见不等式题型,包括一元二次不等式、绝对值不等式、均值不等式、柯西不等式等核心考点,并提供详细的答案解析,帮助考生掌握解题思路和方法。通过针对性训练,考生可以提升不等式解题能力,熟悉高考命题规律,为数学考试做好充分准备。答案解析部分包含解题步骤、思路分析和易错点提示,适合不同基础的学生使用。

高考数学不等式练习题及答案解析是为帮助考生系统复习不等式相关知识而设计的专项练习材料。本套练习题涵盖高考常见不等式题型,包括一元二次不等式、绝对值不等式、均值不等式、柯西不等式等核心考点,并提供详细的答案解析,帮助考生掌握解题思路和方法。通过针对性训练,考生可以提升不等式解题能力,熟悉高考命题规律,为数学考试做好充分准备。答案解析部分包含解题步骤、思路分析和易错点提示,适合不同基础的学生使用。

声明:资源收集自网络无法详细核验或存在错误,仅为个人学习参考使用,如侵犯您的权益,请联系我们处理。
不能下载?报告错误