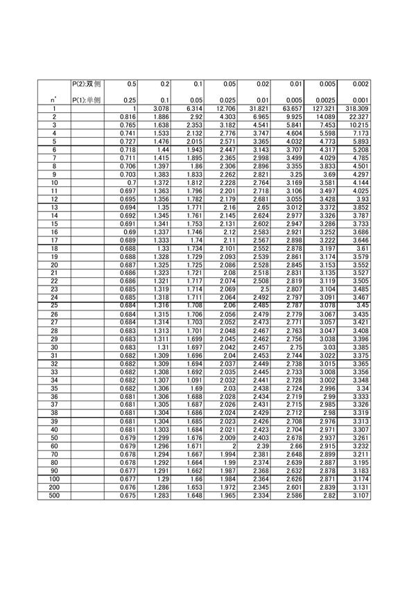
t检验临界值表是统计学中用于假设检验的重要参考工具。它提供了在不同显著性水平(如0.05、0.01)和自由度下t分布的临界值,帮助研究者判断样本数据是否支持原假设。该表通常包括单尾检验和双尾检验的临界值,适用于小样本情况下总体均值差异的检验。使用前需确定检验类型、自由度及显著性水平,然后查找对应临界值与计算得到的t统计量比较,从而做出统计推断。该表是t检验分析中不可或缺的参考依据。

t检验临界值表是统计学中用于假设检验的重要参考工具。它提供了在不同显著性水平(如0.05、0.01)和自由度下t分布的临界值,帮助研究者判断样本数据是否支持原假设。该表通常包括单尾检验和双尾检验的临界值,适用于小样本情况下总体均值差异的检验。使用前需确定检验类型、自由度及显著性水平,然后查找对应临界值与计算得到的t统计量比较,从而做出统计推断。该表是t检验分析中不可或缺的参考依据。

声明:资源收集自网络无法详细核验或存在错误,仅为个人学习参考使用,如侵犯您的权益,请联系我们处理。
不能下载?报告错误